A lineáris rekurziókra vonatkozó alaptétel

1. példa Legyen

an=4an-1+an-2, ha n>=2

a0=a1=1

*

Érdemes felírni a sorozat első néhány elemét: 1,1,5,21,89,377,1597,6765,28657,121393,514229,...

*

A generátorfüggvény:

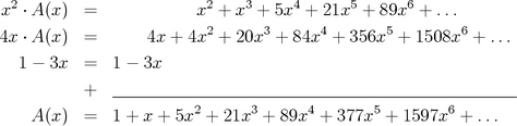
Legyen A(x)=a0+a1x+a2x2+a3x3+...= 1+x+5x2+21x3+89x4+377x5+1597x6+...

Így A(x)=1-3x+4xA(x)+x2A(x). Azaz

A(x)=(1-3x)/(1-4x-x2)

*
A generátorfüggvény parciális törtekre bontása:

*
A generátorfüggvényből an-re vonatkozó képlet kiolvasása:

an=[xn]A(x)= [xn]((5-gyök(5))/10 1/(1-(2+gyök(5))x)+(5+gyök(5))/10 1/(1-(2-gyök(5))x))= (5-gyök(5))/10 (2+gyök(5))n+(5+gyök(5))/10 (1-(2-gyök(5))n.


2. példa Legyen

bn=3bn-1-2bn-2, ha n>=2

b0=2, b1=1

*

Érdemes felírni a sorozat első néhány elemét: 2,1,-1,-5,-13,-29,-61,-125,-253,-509,-1021,-2045,...

*

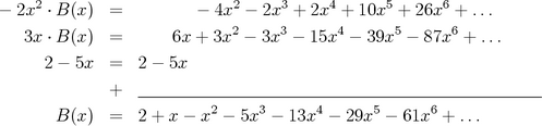
A generátorfüggvény:

Legyen B(x)=b0+b1x+b2x2+b3x3+...= 2+x-x2-5x3-13x4-29x5-61x6+...

Így B(x)=2-5x+3xB(x)-2x2B(x). Azaz

B(x)=(2-5x)/(1-3x+2x2)

*
A generátorfüggvény parciális törtekre bontása:

*
A generátorfüggvényből bn-re vonatkozó képlet kiolvasása:

bn=[xn]B(x)= [xn](-1/(1-2x)+3/(1-x))=3-2n.


3. példa Legyen

cn=5cn-1+2cn-2, ha n>=2

c0=c1=1

*

Érdemes felírni a sorozat első néhány elemét: 1,1,7,37,199,1069,5743,30853,165751,890461,....

*

A generátorfüggvény:

Legyen C(x)=c0+c1x+c2x2+c3x3+...= 1+x+7x2+37x3+199x4+1069x5+5743x6+...

Így C(x)=1-4x+5xC(x)+2x2C(x). Azaz

C(x)=(1-4x)/(1-5x-2x2)

*
A generátorfüggvény parciális törtekre bontása:

*
A generátorfüggvényből cn-re vonatkozó képlet kiolvasása:

cn=[xn]C(x)= [xn](33-3gyök(33))/66 1/(1-(5+gyök(33))/2 x)+ (33+3gyök(33))/66 1/(1-(5-gyök(33))/2 x)= (33-3gyök(33))/66 ((5+gyök(33))/2)n+ (33+3gyök(33))/66 ((5-gyök(33))/2)n.


4. példa Legyen

dn=2dn-1-dn-2, ha n>=2

d0=1, d1=3.

*

Érdemes felírni a sorozat első néhány elemét: 1,3,5,7,9,11,13,15,17,19,21,23,25,27,...

*

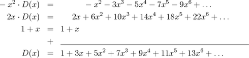
A generátorfüggvény:

Legyen D(x)=d0+d1x+d2x2+d3x3+...= 1+3x+5x2+7x3+9x4+11x5+13x6+...

Így D(x)=1+x+2xD(x)-x2D(x). Azaz

D(x)=(1+x)/(1-2x+x2)

*
A generátorfüggvény parciális törtekre bontása:

*
A generátorfüggvényből dn-re vonatkozó képlet kiolvasása:

dn=[xn]D(x)= [xn](2/(1-x)2-1/(1-x))= 2[xn]1/(1-x)2-[xn]1/(1-x)= 2(n+1)-1=2n+1.

A fenti kiolvasáshoz a lényeges ismeret, hogy tudjuk: [xn]1/(1-x)k=(-kn)=(n+k-1k-1). Így speciálisan [xn]1/(1-x)2=n+1.


5. példa Legyen

en=-2en-1-en-2, ha n>=2

e0=e1=1.

*

Érdemes felírni a sorozat első néhány elemét: 1,1,-3,5,-7,9,-11,13,-15,17,-19,21

*

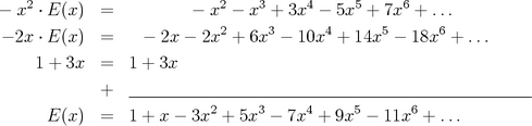
A generátorfüggvény:

Legyen E(x)=e0+e1x+e2x2+e3x3+...= 1+x-3x2+5x3-7x4+9x5-11x6+...

Így E(x)=1+3x-2xE(x)-x2E(x). Azaz

E(x)=(1+3x)/(1+2x+x2)

*
A generátorfüggvény parciális törtekre bontása:

*
A generátorfüggvényből en-re vonatkozó képlet kiolvasása:

en=[xn]E(x)= [xn](-2/(1+x)2+3/(1+x))= -2[xn]1/(1+x)2+3[xn]1/(1+x)= -2(-1)n(n+1)+3(-1)n=(-1)n(1-2n).


6. példa Legyen

fn=6fn-1-9fn-2, ha n>=2

f0=f1=1.

*

Érdemes felírni a sorozat első néhány elemét: 1,1,-3,-27,-135,-567,-2187,...

*

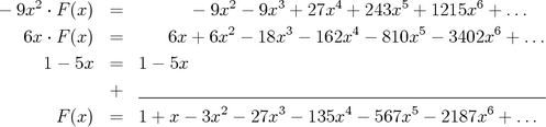
A generátorfüggvény:

Legyen F(x)=f0+f1x+f2x2+f3x3+...= 1+x-3x2-27x3-135x4-567x5-2187x6+...

Így F(x)=1-5x+6xF(x)-9x2F(x). Azaz

F(x)=(1-5x)/(1-6x+9x2)

*
A generátorfüggvény parciális törtekre bontása:

*
A generátorfüggvényből fn-re vonatkozó képlet kiolvasása:

fn=[xn]F(x)= [xn]((1-5x)/(1-6x+9x2))= -2/3[xn]1/(1-3x)2+5/3 [xn]1/(1-3x)= -2/3 3n(n+1)+5/3 3n=(3-2n)3n-1.


7. példa Legyen

gn=4gn-1-5gn-2, ha n>=2

g0=g1=1

*

Érdemes felírni a sorozat első néhány elemét: 1,1,-1,-9,-31,-79,-161,-249,-191,481,...

*

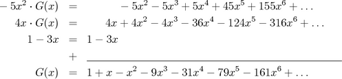
A generátorfüggvény:

Legyen G(x)=g0+g1x+g2x2+g3x3+...= 1+x-x2-9x3-31x4-79x5-161x6+...

Így G(x)=1-3x+4xG(x)-5x2G(x). Azaz

G(x)=(1-3x)/(1-4x+5x2)

*
A generátorfüggvény parciális törtekre bontása:

*
A generátorfüggvényből gn-re vonatkozó képlet kiolvasása:

gn=[xn]G(x)= [xn]((1+i)/2 1/(1-(2+i)x)+(1-i)/2 1/(1-(2-i)x))= (1+i)/2 (2+i)n+(1-i)/2 (2-i)n.


8. példa Legyen

hn=2hn-1-4hn-2, ha n>=2

h0=h1=1

*

Érdemes felírni a sorozat első néhány elemét: 1,1,-2,-8,-8,16,64,64,-128,-512,-512,...

*

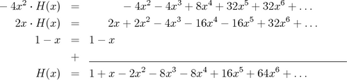
A generátorfüggvény:

Legyen H(x)=h0+h1x+h2x2+h3x3+...= 1+x-2x2-8x3-8x4+16x5+64x6+...

Így H(x)=1-x+2xH(x)-4x2H(x). Azaz

H(x)=(1-x)/(1-2x+4x2)

*
A generátorfüggvény parciális törtekre bontása:

*
A generátorfüggvényből hn-re vonatkozó képlet kiolvasása:

hn=[xn]H(x)= [xn](1/2 1/(1-(1-i gyök(3))x)+1/2 1/(1-(1+i gyök(3))x))= 1/2 (1+i gyök(3))n+1/2 (1-i gyök(3))n.

A binomiális képletből könnyen látható, hogy formulánk egész értéket ad meg. Ezt láthatóbbá tehetjük komplex számaink trigonometrikus formájának használatával. 1+i gyök(3)=2(1/2 + i gyök(3)/2)=2(cos 60o+i sin 60o) és 1-i gyök(3)=2(1/2 - i gyök(3)/2)=2(cos 60o-i sin 60o). Így (1+i gyök(3))n=(2(1/2 + i gyök(3)/2))n= 2n(cos n60o+i sin n60o) és (1-i gyök(3))n=2n(cos n60o-i sin n60o).

Így hn= 1/2 (1+i gyök(3))n+1/2 (1-i gyök(3))n= 2n-1((cos n60o+i sin n60o)+(cos n60o-i sin n60o))= 2ncos n60o.

cos n60o egy periodikus sorozat (n=0,1,2,3,...): 1,1/2,-1/2,-1,-1/2,1/2,1,1/2,-1/2,-1,-1/2,1/2,1,1/2,-1/2,-1,-1/2,1/2,... Ezt is beírhatjuk a fenti képletbe.


9. példa Legyen

in=6in-1-12in-2, ha n>=2

i0=i1=1

*

Érdemes felírni a sorozat első néhány elemét: 1,1,-6,-48,-216,-720,-1728,-1728,10368,...

*

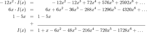
A generátorfüggvény:

Legyen I(x)=i0+i1x+i2x2+i3x3+...= 1+x-6x2-48x3-216x4-720x5-1728x6+...

Így I(x)=1-5x+6xI(x)-12x2I(x). Azaz

I(x)=(1-5x)/(1-6x+12x2)

*
A generátorfüggvény parciális törtekre bontása:

*
A generátorfüggvényből in-re vonatkozó képlet kiolvasása:

in=[xn]I(x)= [xn]((1/2 +i/gyök(3)) 1/1-(3+i gyök(3))x +(1/2 -i/gyök(3)) 1/1-(3-i gyök(3))x)= (1/2 +i/gyök(3)) (3+i gyök(3))n +(1/2 -i/gyök(3)) (3-i gyök(3))n.

A binomiális képletből látható, hogy formulánk egész értéket ad meg. Ezt láthatóbbá tehetjük komplex számaink trigonometrikus formájának használatával. 3+i gyök(3)=2gyök(3)(gyök(3)/2 + i 1/2)=2gyök(3)(cos 30o+i sin 30o) és 3-i gyök(3)=2gyök(3)(gyök(3)/2 - i 1/2)=2gyök(3)(cos 30o-i sin 30o) Így (1/2 +i/gyök(3))[2gyök(3)(cos 30o+i sin 30o)]n + (1/2 -i/gyök(3))[2gyök(3)(cos 30o-i sin 30o)]n= (2gyök(3))n[(1/2 +i/gyök(3))(cos n 30o+i sin n 30o)+ (1/2 -i/gyök(3))(cos n 30o-i sin n 30o)]= (2gyök(3))n[cos n 30o-2/gyök(3) sin n 30o]. Azaz

in=(2gyök(3))n[cos n 30o-2/gyök(3) sin n 30o].

cos n 30o-2/gyök(3) sin n 30o egy periodikus sorozat (n=0,1,2,3,...): 1,gyök(3)/6,-1/2,-2gyök(3)/3,-3/2,-5gyök(3)/6, -1,-gyök(3)/6,1/2,2gyök(3)/3,3/2,5gyök(3)/6, 1,gyök(3)/6,-1/2,-2gyök(3)/3,-3/2,-5gyök(3)/6, -1,-gyök(3)/6,1/2,2gyök(3)/3,3/2,5gyök(3)/6,... Ezt is beírhatjuk a fenti képletbe.